my_code_base.core.pandas_utils

Module Contents

my_code_base.core.pandas_utils.grid_dataframe(points, vals, xi, export_grid=False)[source]

Bin the values with points coordinates by the given target coordinates xi and put the average of each bin onto the target grid.

Parameters:
  • points (tuple[list, list]) – A tuple (x, y) consisting of two lists holding the respective x and y coordinates of the source data.

  • values (list) – The actual data values that are meant to be regridded

  • xi (tuple[list, list]) – A tuple (x, y) consisting of two lists holding the target coordinates.

Example

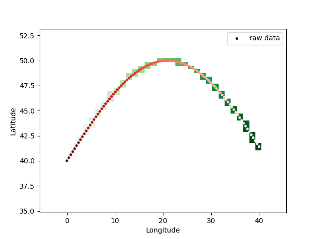
>>> pytest.skip()
>>> df = pd.DataFrame({'lon': np.linspace(0, 40, 100),
>>>                    'lat': np.sin(np.linspace(0, 3, 100))*10 + 40,
>>>                    'data': np.linspace(240,200,100)})
>>> xi = np.linspace(-5, 45, 40)
>>> yi = np.linspace(35, 53, 50)
>>> gridded = grid_dataframe((df.lon, df.lat), df.data, (xi, yi))
>>> plt.pcolormesh(xi, yi, gridded, shading='auto', cmap='Greens_r')
>>> plt.scatter(df.lon, df.lat, c=df.data, marker='.', lw=.75, cmap='Reds', label='raw data')
>>> plt.xlabel('Longitude')
>>> plt.ylabel('Latitude')
>>> plt.legend()
>>> plt.show()
example plot